Comme chaque année lors de sa conférence de presse CLIMMAR présente l’indice « European Delaer Satisfaction Index » qui permet d’évaluer l’indice de satisfaction des concessionnaires envers leurs marques.
Cette année c’est 1158 concessionnaires d’Europe de l’Ouest qui ont participé à l’élaboration de cet indice. Pour la France 307 concessionnaires ont participé ainsi que 58 concessionnaires pour la Belgique. Les marques sont évaluées selon des critères bien précis : l’image de marque, marketing sur les tracteurs, marketing sur les pièces détachés, services après ventes, financement…
Pour le classement relatif à « L’image de marque » : Fendt arrive en première position, John Deere en seconde position et Valtra ferme le podium.

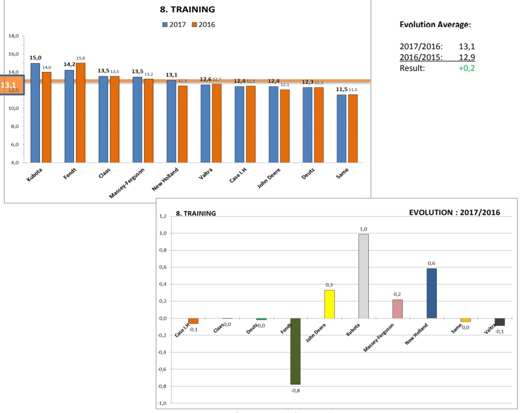
Dans le classement relatif aux formations données par le constructeurs : Kubota prend la première position en 2017, Fendt et Claas ferment le podium.

Concernant les relations entre les constructeurs et les concessionnaires Kubota prend encore une fois la première place à la marque Fendt qui reste solidement à la seconde place talonnée par Massey-Ferguson

Sur la rentabilité Kubota offre une bonne rentabilité à ses concessionnaires. Fendt et New Holland complètent le podium.

Concernant l’amélioration des points faibles les marques Kubota, Valtra et Fendt forment le podium.

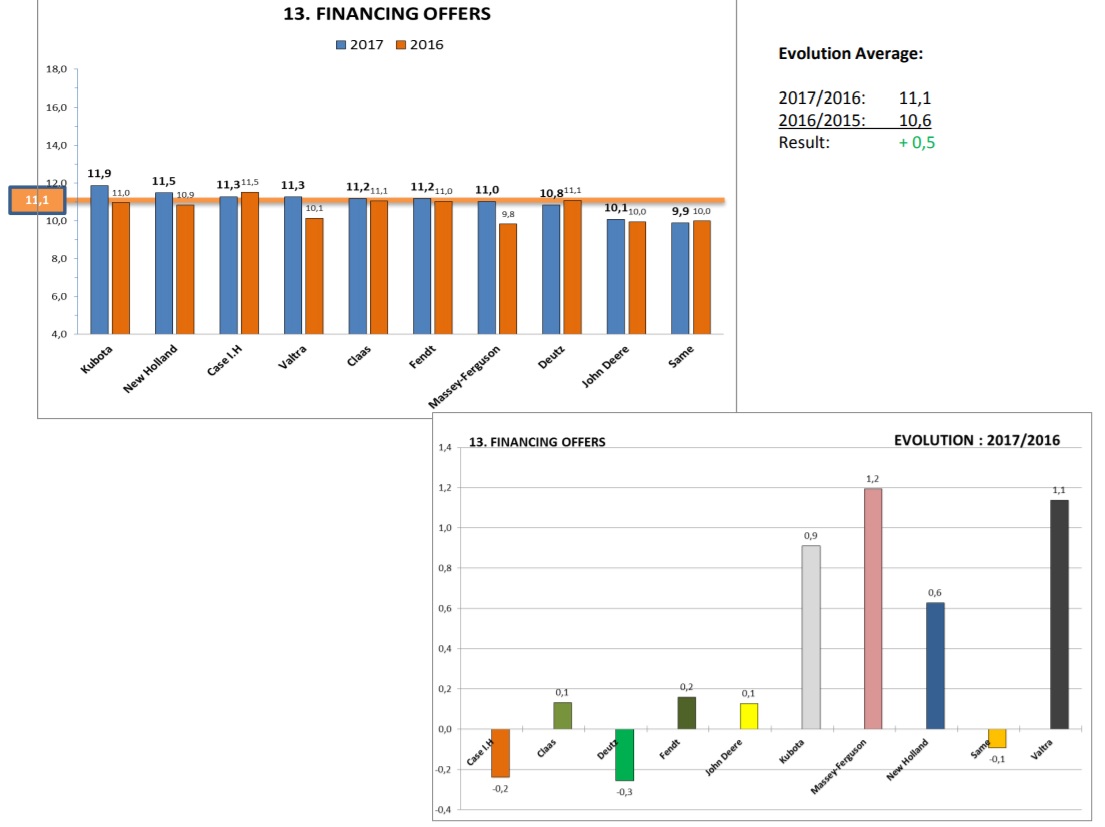
Pour les offres de financement offert par les constructeurs, un point de plus en plus important de nos jours. Kubota et les deux marques du groupe CNH ( New Holland – Case IH ) forment le podium.

La protection contre les vols reste vraisemblablement un problème pour beaucoup des concessionnaires, avec une note moyenne de 8.3/20 seul Fendt obtient la moyenne.
On obtient finalement au total le classement suivant : 1er Kubota, 2nd Fendt, 3ème Claas à égalité de point avec Valtra.

Le dispositif de contrôle périodique obligatoire des pulvérisateurs est effectif depuis le 1er janv (...)
Un annuaire en ligne pour retrouver vos pièces agricoles, bornes, cles
publié par orpailleur79
Utiliser détecteur de métaux vers saintes, charente maritime
publié par orpailleur79
What size should the birth ceremony invitation card be?
publié par Maitredossou